CG
ЦГ
EN
Medijski portal
Sve vijesti
Organizacija
Biblioteka
eServisi
Pristupačnost
Vlada Crne Gore
Biblioteka
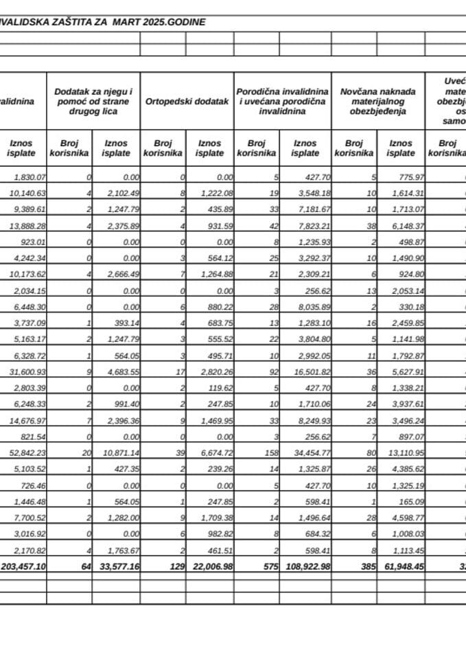
Rekapitular isplata boračke i invalidske zaštite -
...
Rekapitular isplata boračke i invalidske zaštite - mart 2025.
Objavljeno:
28.04.2025.
•
07:55
Autor:
Ministarstvo socijalnog staranja, brige o porodici i demografije
PREUZMI
xlsx
•
20 KB
Please ensure Javascript is enabled for purposes of
website accessibility