CG
ЦГ
EN
Medijski portal
Sve vijesti
Organizacija
Biblioteka
eServisi
Pristupačnost
Vlada Crne Gore
Biblioteka
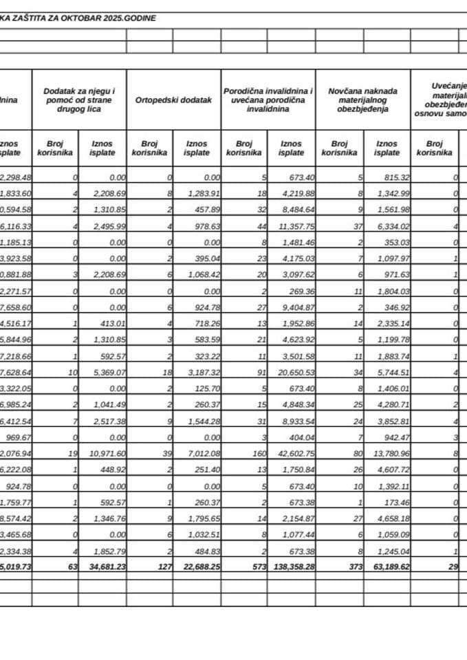
Rekapitular isplata boračke i invalidske zaštite z
...
Rekapitular isplata boračke i invalidske zaštite za oktobar 2025.godine
Objavljeno:
16.12.2025.
•
09:53
Autor:
Ministarstvo socijalnog staranja, brige o porodici i demografije
PREUZMI
xlsx
•
20 KB
Please ensure Javascript is enabled for purposes of
website accessibility