CG
ЦГ
EN
Medijski portal
Sve vijesti
Organizacija
Biblioteka
eServisi
Pristupačnost
Početna
Biblioteka
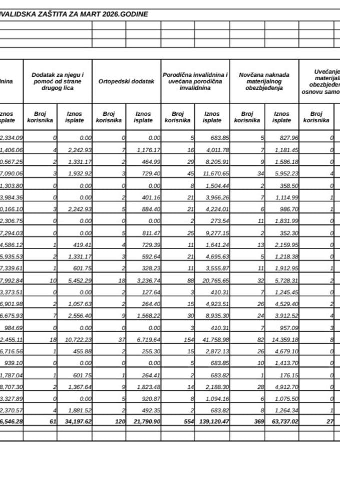
Rekapitular isplata boračke i invalidske zaštite z
...
Rekapitular isplata boračke i invalidske zaštite za mart 2026.
Objavljeno:
20.04.2026.
•
11:05
Autor:
Ministarstvo socijalnog staranja, brige o porodici i demografije
PREUZMI
xlsx
•
23 KB
Please ensure Javascript is enabled for purposes of
website accessibility