CG
ЦГ
EN
Medijski portal
Sve vijesti
Organizacija
Biblioteka
eServisi
Pristupačnost
Vlada Crne Gore
Biblioteka
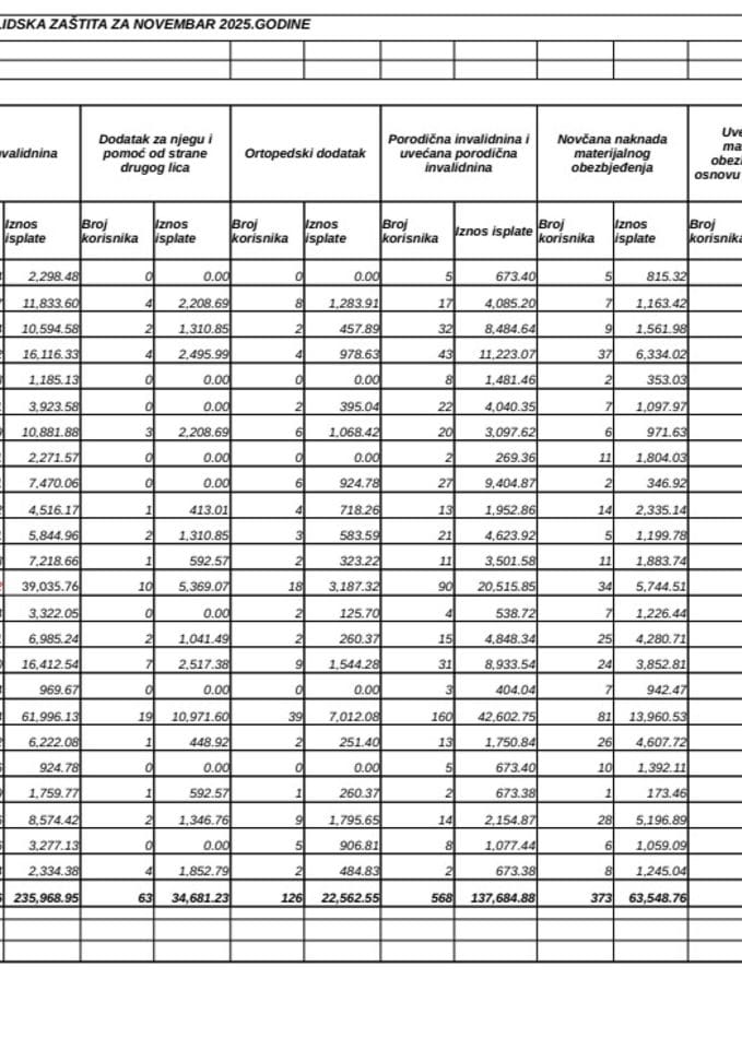
Rekapitular isplata boračke i invalidske zaštite z
...
Rekapitular isplata boračke i invalidske zaštite za novembar 2025.
Objavljeno:
19.12.2025.
•
10:59
Autor:
Ministarstvo socijalnog staranja, brige o porodici i demografije
PREUZMI
xlsx
•
23 KB
Please ensure Javascript is enabled for purposes of
website accessibility