CG
ЦГ
EN
Medijski portal
Sve vijesti
Organizacija
Biblioteka
eServisi
Pristupačnost
Vlada Crne Gore
Biblioteka
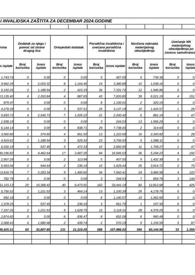
Rekapitular boračke i invalidske zaštite za 2025.
Rekapitular boračke i invalidske zaštite za 2025.
Objavljeno:
19.12.2025.
•
11:00
Autor:
Ministarstvo socijalnog staranja, brige o porodici i demografije
PREUZMI
xlsx
•
166 KB
Please ensure Javascript is enabled for purposes of
website accessibility