CG
ЦГ
EN
Медијски портал
Све вијести
Организација
Библиотека
е-Сервиси
Приступачност
Влада Црне Горе
Библиотека
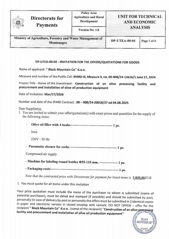
Цалл фор бидс 2 - Блацк Моунтаин
Цалл фор бидс 2 - Блацк Моунтаин
Објављено:
17.03.2026.
•
13:06
Опис:
Цалл фор бидс 2 - Блацк Моунтаин
Аутор:
Министарство пољопривреде, шумарства и водопривреде - ИПАРД програм
ПРЕУЗМИ
pdf
•
4 MB
Please ensure Javascript is enabled for purposes of
website accessibility